
由共青团中央学校部、中国语文报刊协会、《语文报》编辑部、《语文教学通讯》编辑部等单位联合举办的“语文报杯”全国中学生作文大赛系全国中学生竞赛活动中的权威品牌。该项赛事一年一届,参赛学生已逾千万,产生了广泛而深远的社会影响,并得到了国内众多高水平大学的高度关注。许多高校表示,在自主招生报名审核时会优先考虑在该项赛事中获奖的应届高中毕业生。有众多优秀学子通过这种方式在高考抉择关键时获益,缓解了纯粹高考的压力,拥有了多元化的选择,提升了可选择高校的档次。
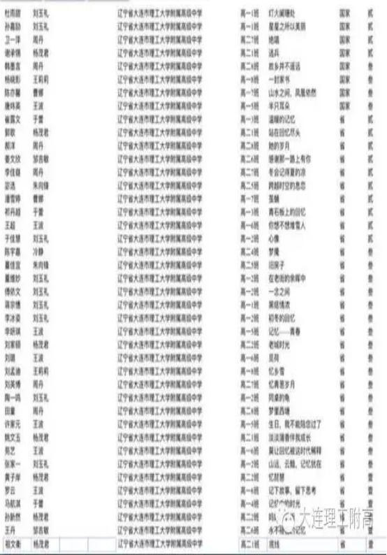
备受瞩目的第十八届“语文报杯”全国中学生作文大赛现已落下帷幕,我校师生收获颇丰,学校获得“作文教学先进单位”,同时有41位同学获得省级、国家级奖项,其中杜雨田(指导教师刘玉礼)、孙嘉励(指导教师刘玉礼)、卫一萍(指导教师周丹)、谢承赐(指导教师杨茂君)已经收到入围现场决赛的邀请函。

好事成双,被自主招生高校看好的另外一场语文作文大赛——第三届全国科幻科普大赛,我校师生也喜获丰收。有32位同学获得省级、国家级奖项。
两项赛事我校有73位同学在国家级语文作文大奖赛上展示实力,这既彰显了同学们写作的兴趣和追求,也证明了我校语文组老师积极的引导和有效的训练。
曹娜
2016-7-9
链接1:
高校对语文报杯作文大赛的认可有两种形式:一是明确提到“语文报杯作文大赛”可以作为报名条件,另一种是更多的大学只是讲到如果参加全国性作文大赛并获奖即具备报名条件。举例如下:
第一种 明确提到语文报杯作文大赛的院校,举例如下:
1、天津大学(学科特长人才遴选计划):高中阶段获得“语文报杯”全国中学生作文大赛国家一等奖(含)以上。
2、中国政法大学:“语文报杯”全国中学生作文大赛(《语文报》报社主办)全国一等奖及以上奖项;
3、中南财经政法大学:
B类专业:哲学、国际政治、社会学、法学(刑事司法方向)、农林经济管理、公共事业管理、劳动关系、城市管理、日语、安全工程(限理科生)、环境工程(限理科生)、信息与计算科学(限理科生):
语文报杯”中学生作文大赛荣获二等奖及以上者;
4、中国传媒大学:
高中阶段在下列全国性中学生竞赛中获得全国三等奖及以上奖项:(考生须已经获得获奖证书,凡在报名期间未获得获奖证书者,视为无效)
全国“语文报杯”中学生作文大赛(《语文报》报社主办);
5、苏州大学
具有文学、写作方面的特殊才能,以第一作者正式出版专著,或者高中阶段参加全国性作文比赛获二等奖及以上者(具体赛事名称为“叶圣陶杯”全国中学生新作文大赛、全国新概念作文大赛、全国中小学生创新作文大赛、“语文报杯”全国中学生作文大赛);
6、东北师范大学
高中阶段在全国作文比赛(“叶圣陶杯”全国中学生新作文大赛、全国新概念作文大赛、全国中小学生创新作文大赛、“语文报杯”全国中学生作文大赛)中获得二等奖及以上者。
第二种 没有明确提到哪一种作文大赛,但明确只要参加全国性作文大赛并获奖即可。举例如下:
1、东北大学:
B.人文与社科类(公共事业管理、行政管理、法学、思想政治教育、新闻学、哲学):
参加省级以上作文、演讲、辩论等竞赛获奖考生;
2、武汉理工大学
B类计划。专业为海洋工程类、工商管理类、机械类(机电类)、能源与动力工程、土木类、机械类(车辆)、矿业类、电子信息类(工学)、计算机类、自动化类、海事管理、新闻传播学类、法学、数学类、经济学类、物流管理与工程类、社会工作、制药工程:
高中阶段公开发表文学作品或获得全国性作文竞赛国家级奖励。
3、南京大学:
新闻实验班:热爱新闻工作,品学兼优,在新闻领域有良好的个人禀赋。写作能力突出,高中阶段在正式媒体发表过相关文字、摄影等作品或在全国性的作文比赛中获得省级一等奖及以上奖项的高中毕业生。
汉语言文学、历史学类、哲学类:对文史哲学习有浓厚兴趣,具有良好的个人禀赋与特长,品学兼优。写作能力突出,高中阶段在正式刊物上发表过文章,或获得全国性的作文比赛省级一等奖及以上奖励的高中毕业生。
4、西南财经大学:
具有我校相关学科的创新潜质或学科特长并能提供相应证明材料。
5、北京邮电大学:对于所报类别的专业有着浓厚兴趣,在相关专业领域取得过突出成绩、展示出创新潜质,或在相关专业领域确有突出特长,须提供相关证明材料。
链接2:
一、高中数学学科竞赛
1.全国高中数学联赛(全国高中数学联合竞赛)(www.ao.fudan.edu.cn)
八、科技类竞赛
1.全国青少年科技创新大赛(http://castic.xiaoxiaotong.org/)
2.“明天小小科学家”奖励活动(http://mingtian.xiaoxiaotong.org/index.aspx)
3.全国中小学电脑制作活动(http://www.huodong2000.com.cn/)
4.国际科学与工程大奖赛Intel ISEF(http://www.societyforscience.org/isef/)
5.南京航空航天大学“飞天杯”中学生科技创新竞赛
6.“未来杯”全国中学生创意设计竞赛
7.全国青少年航空航天模型锦标赛
九、机器人竞赛
1.中国教育机器人大赛(http://www.ercc.net.cn/index.html)
2.中国青少年机器人竞赛(http://robot.xiaoxiaotong.org/)
3.全国机器人大赛(http://www.rcccaa.org/)
4.国际奥林匹克机器人大赛(WRO)(http://www.wroboto.cn/)
5.中国水中机器人大赛(http://robot.pku.edu.cn/index.htm)
十、综合类
1.全国中学生微创新大赛(http://www.wchx.org/)
2.全国中学生基础学科拔尖学生创新能力邀请赛(http://www.mxzzzs.com)
3.国际环境科研项目奥林匹克竞赛
4.头脑创新思维竞赛(DI)
5.全国中学生基础学科创新能力大赛
6.同济大学中学生结构设计邀请赛
(曹娜编辑)